脂肪测定仪用于咖啡中粗脂肪的提取及含量测定
1 前言
如今,随着生活质量的不断提高,人们开发出了各式各样的饮料产品,但也有一些假冒伪劣产品充斥其中,因此为了评判咖啡的品质,通常情况下人们通过测试咖啡中脂肪的含量多少来进行评估。综合以上情况,我们通过使用海能仪器股份有限公司生产的SOX406脂肪测定仪进行实验,所得结果如下。
2 实验部分
2.1样品制备
精确秤取咖啡样品2.000克,在105度干燥至恒重。
2.2实验方法
2.2.1 将溶剂接收杯清洗干净,在干燥箱烘至恒重。
准备沸程30-60℃的石油醚500ml以上
2.2.2 将烘干恒重后溶剂杯自然冷却然后称取重量并记录,称取干燥样品2g放进滤纸筒内(滤纸筒顶部放入适量脱脂棉),可做五个样品,一个样品空白,以确保测试准确度。
2.2.3 将样品缓慢放入仪器萃取室中,并保证回流液恰好滴落在滤纸筒内,设置为SOX406索氏标准萃取模式。萃取室可加入80ml左右石油醚(石油醚添加量以漫过样品为标准)并拧紧上盖,防止溶剂泄漏。
萃取温度设置80℃
萃取时间6h,
预干燥时间30分钟以上
(实验过程请保证冷却水正常流通,溶剂杯放置准确 并确保不漏液)
2.2.4 试验结束后待仪器上溶剂杯冷却后,取下放置烘箱80左右°烘干30min,放置于干燥器内冷却,后迅速称取总重
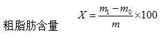
2.3 计算
粗脂肪含量

式中:
X————样品中粗脂肪的含量(g/100g);
m1————溶剂杯和粗脂肪的质量(g);
m0————干燥溶剂杯质量(g);
m———— 样品质量
