脂肪测定仪测定零食青豆中脂肪含量
1引言
零食青豆,脆,香,是大多数小朋友的最爱,也是人们无聊时用来消遣或加餐的食物。市场上,根据人们的口味不同,制作出来的有蒜香味,蟹黄味,芥末味等不同口味的青豆;根据包装形式不同,分为散装和袋装两种。但由于制作工艺的要求,其中含有较多脂肪。其脂肪含量大概是多少呢?本方案将对袋装青豆采用SOX406脂肪测定仪测定其脂肪含量。
2实验部分
2.1实验仪器及试剂
SOX406脂肪测定仪(济南海能仪器股份有限公司);分析天平;鼓风干燥箱;旋风磨;干燥器;100mL量筒。
实验用水应符合GB/T6682中三级用水的规格,使用试剂除特殊说明外,均为分析纯。
石油醚(60~90℃);滤纸;脱脂棉。
2.2实验步骤
1.仪器准备:请参照说明书,清洗溶剂杯,干燥并称重记为m0。
2.取样:将样品在旋风磨中粉碎;精确称取样品约1g左右(记为m),放入带有海砂的滤纸筒内,并覆盖上一层脱脂棉。
3.萃取:加入抽提溶剂50mL,打开冷凝水,启动脂肪测定仪。设置回流时间4.0h、萃取温度95℃,进行萃取。预干燥15min。
4.计算结果:抽提完成后,烘干溶剂杯至恒重,称重记为m1。
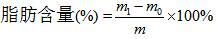
增重法计算脂肪含量:
其中,m1──溶剂杯和粗脂肪质量,g;
m0──溶剂杯质量,g;
m ──试样质量,g;
计算得出实验结果。
3结果分析
4注意事项
注意石油醚的挥发及易燃性,实验过程中应及时注意通风,防止石油醚对人体造成伤害。
