纤维测定仪测定谷物籽粒中酸性洗涤纤维含量
1 前言
酸性洗涤纤维:指植物材料或含植物材料的饲料中不溶于酸性洗涤剂的那部分物质,包括纤维素、木质素、二氧化硅、角质蛋白和蜡质等,实际上也是组成植物细胞壁的成分。谷物籽粒中含有大量碳水化合物,以及脂肪,蛋白质,纤维,无机盐等。同时也是一种重要的饲料成分。其中谷物籽粒中酸性洗涤纤维含量的多少是评价其品质,以及等级的一项重要标准,因此谷物籽粒中酸性洗涤纤维含量的测定在实际应用中具有重要意义。
2 实验部分
2.1 仪器与试剂
分析天平,Hanon F800纤维测定仪,真空干燥箱,干燥器
酸性洗涤剂(2%十六烷基三甲基溴化铵溶液):称取20gCTAB溶于1000mL1.00mol/L硫酸(H2SO4)溶液中,搅拌均匀溶液,必要时过滤。
2.2 样品制备
精确秤取干燥样品5-10克,在旋风磨中进行粉碎,粉碎后样品通过1mm筛孔的样品含量不低于95%。收集粉碎物于磨口瓶中,混合备用。
样品前处理:因样品中脂肪和色素含量高于10%,先用乙醚脱脂后再消煮。若脂肪和色素含量低于10%,可先不脱脂,在丙酮洗涤后增加乙醚洗涤2次。
若样品中淀粉含量较高,可加入0.2mLα-高温淀粉酶。
2.3 实验
精确称量样品0.5-1.0g,质量记录为m。将其置于坩埚内并加入几粒海砂,记录质量为m1加入100-150mL酸性洗涤剂,再加入2-3滴正辛醇。加热煮沸,并保持60min。抽滤洗涤室酸性洗涤液后,加入适量预热好的去离子水进行清洗,洗涤三次至无泡沫为止。后将坩埚和样品放入105℃烘箱中干燥4h,称量,重复操作至恒重,并记录质量为m2。
2.4 计算
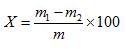
酸性洗涤纤维含量
式中:
X————样品中酸性洗涤纤维的含量(g/100g);
m1————坩埚和样品洗涤前的质量(g);
m2————坩埚和样品洗涤后的质量(g);
m———— 样品质量
3 结果与讨论
若样品中脂肪,淀粉和色素含量较高,必须进行脱脂处理,方能得到较为准确地实验结果。
实验过程中保证冷却水较为充足,切勿中途断水,造成溶液沸出。
若实验过程中有较多气泡,可加入3-5滴消泡剂正辛醇。
若实验过程中有少许样品贴壁,可缓慢加入少许消煮溶液,将其冲洗下来。
