纤维测定仪测定豆粕中粗纤维含量
1 引言
酒糟别名红糟,是米、麦、高粱等粮食作物酿酒后剩余的残渣,富含丰富的粗蛋白和粗脂肪,热量较高,可直接用作牲畜饲料。其粗纤维含量测定原理为:用固定量的酸和碱,在特定的条件下消煮样品,再用醚、丙酮除去醚溶物,经高温灼烧扣除矿物质的量,所余量称为粗纤维。
2 实验部分
2.1 实验仪器
F800纤维测定仪(济南海能仪器股份有限公司);分析天平;真空干燥箱;干燥器;马弗炉。
2.2 实验试剂
实验用水应符合GB/T6682中三级用水的规格,使用试剂除特殊说明外,均为分析纯。
硫酸溶液:c(H2SO4)=0.13mol/L;氢氧化钠溶液:c(NaOH)=0.31mol/L;丙酮;石油醚。
滤器辅料:硅藻土(在500℃下灰化1h,放入坩埚内);消泡剂:正辛醇。
2.3 实验步骤
1.仪器准备:请参照说明书。
2.样品制备:精确称取样品约1g(记为m),放入灰化好并带有硅藻土的坩埚内。
3.酸消煮:消煮管内添加150mL硫酸溶液,微沸状态下消煮30min,抽滤并洗涤数次至中性。
4.碱消煮:消煮管内添加150mL氢氧化钠溶液,微沸状态下消煮30min,抽滤并洗涤数次至中性。
5.洗涤:先后加入丙酮和石油醚,各洗涤3次,抽滤。
6.干燥:放入真空干燥箱内,以130℃烘干2h,冷却称重m1.
7.灰化:500℃下,在马弗炉中灰化2h,冷却称重为m2.
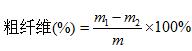
8.计算结果:根据公式
其中,m1──130℃烘干后坩埚及试样残渣重,g;
m2──500℃灼烧后坩埚及试样残渣重,g;
m ── 试样质量,g;
计算得出实验结果。
3 结果分析

4 注意事项
1.若实验过程中,出现较多气泡,可滴入几滴正辛醇。
2.消煮过程中,若样品出现挂壁现象,可用加入少量酸性或碱性洗涤剂将其冲洗下来。
3.排废过程中,若出现样品因抽滤成饼造成抽滤困难时,可采用反冲功能,从而使排废进行更顺利。
