SOX406脂肪测定仪测定羊毛中残脂含量
1引言
羊毛是人类在纺织上最早利用的天然纤维之一。质软而富有弹性,可用作毛毯、毡呢、绒线等生活用品。若其加工工艺不符合标准,残脂过高,会造成使用过程中产生异味。所以残脂含量也是评判羊毛质量的一个标准。
2实验部分
2.1实验仪器及试剂
SOX406脂肪测定仪(济南海能仪器股份有限公司);分析天平;鼓风干燥箱;干燥器;100mL量筒;剪刀。
实验用水应符合GB/T6682中三级用水的规格,使用试剂除特殊说明外,均为分析纯。
海砂;乙醚;滤纸;脱脂棉。
2.2实验步骤
1.仪器准备:请参照说明书,清洗溶剂杯,干燥并称重记为m0。
2.取样:用剪刀将样品剪碎,精确称取干燥样品约0.5g(记为m),放入滤纸筒内,并覆盖上一层脱脂棉。
3.萃取:加入抽提溶剂50mL,打开冷凝水,启动脂肪测定仪。设置回流时间2h、萃取温度45℃,进行萃取。预干燥15min。
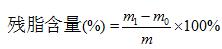
4.计算结果:抽提完成后,烘干溶剂杯至恒重,记为m1。
增重法计算残脂含量:
其中,m1──溶剂杯和残脂质量,g;
m0──溶剂杯质量,g;
m ──试样质量,g;
计算得出实验结果。
3注意事项
注意乙醚的挥发及易燃性,萃取过程中应及时注意通风。
