凯氏定氮仪测定疫苗中蛋白质含量
1 前言
疫苗是指为了预防、控制传染病的发生、流行,用于人体预防接种的疫苗类预防性生物制品。生物制品,是指用微生物或其毒素、酶,人或动物的血清、细胞等制备的供预防、诊断和治疗用的制剂。预防接种用的生物制品包括疫苗、菌苗和类毒素。其中,由病菌制成的为菌苗;由病毒、立克次体、螺旋体制成的为疫苗,有时也统称为疫苗。不管是哪一种疫苗,里面都会含有大量蛋白质。下面以禽流感疫苗为例,为大家介绍一下疫苗中蛋白质含量测定的方法。
2 实验部分
2.1原理
疫苗中的有机态氮在浓硫酸和催化剂的共同作用下,转化为氨态氮。加碱蒸馏后,用硼酸吸收后,再以硫酸标准滴定液进行滴定。
2.2 仪器与试剂、器具
2.2.1 K1100F全自动凯氏定氮仪(济南海能仪器股份有限公司)。
2.2.2 SH420F石墨消解仪(济南海能仪器股份有限公司)。
2.2.3 硫酸 分析纯,c(HCL)=0.1mol/L,标准滴定液。
2.2.4 硼酸 分析纯,质量分数2%。
2.2.5 氢氧化钠 分析纯,质量分数40%。
2.2.6 溴甲酚绿-甲基红混合指示剂 将溴甲酚绿乙醇溶液(1g/L)与甲基红乙醇溶液(1g/L)按5:1体积比临时混合摇匀备用。
2.2.7 催化剂片 3g硫酸钾和0.2g硫酸铜混合均匀压片
2.2.8 50ml量筒
2.2.9 称量瓶
2.3 实验部分
2.3.1取样:精确量取2ml样品放入消化管中,并用纯水冲洗消化管壁,防止残留,加催化剂片(或者3g硫酸钾、0.2g硫酸铜),加入8ml浓硫酸。
2.3.2消解:利用石墨消解炉进行消解,将消化管放在石墨炉上,盖上排气罩,连接废气吸收系统,消化完毕后,将消化管取下冷却至室温。消化过程采用曲线升温模式,设置参数如下:
2.3.3 待消化管内溶液冷却至室温后,将消化管放置于定氮仪上。定氮仪设置程序如下:
稀释水:30ml
硼酸: 25ml
碱: 30ml
蒸馏时间:5min
2.3.4 仪器自动滴定并给出计算结果。
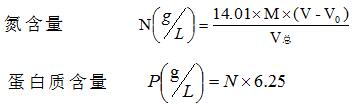
3 结果与讨论
式中:M-标准酸摩尔浓度(mol/L)
V总-样品体积(mL)
V0-空白样滴定标准酸消耗量(mL)
V-样品滴定标准酸消耗量(mL),精确到小数点后四位
6.25是蛋白质系数
注意事项
1.消解过程中要先将水分挥发完全,以防止爆沸,喷溅。
