F800纤维测定仪检测苜蓿草纤维素的含量
1引言
根据Van Soest方法结合海能F800纤维测定仪测定苜蓿草中纤维素的含量原理如下:苜蓿草经酸性洗涤剂的消煮后,得到残渣成分为纤维素、木质素和硅酸盐;样品再经12mol/L硫酸常温下消解,得到残渣成分为木质素和硅酸盐;两过程残渣重量之差即为纤维素的重量,从而与样品相比得出纤维素含量值。
2实验部分
2.1实验仪器
F800纤维测定仪(济南海能仪器股份有限公司);分析天平;真空干燥箱;旋风磨;干燥器。
2.2实验试剂
实验用水应符合GB/T6682中三级用水的规格,使用试剂除特殊说明外,均为分析纯。
硫酸;十六烷基三甲基溴化铵(C19H42NBr,CTAB);丙酮(CH3COCH3);石油醚;正辛醇(C8H18O,消泡剂)。
滤器辅料:海砂或硅藻土(使用前,将其用沸腾盐酸溶液[c(HCl)=4mol/L]处理,水洗至中性,在550℃下灰化1h,放入坩埚内)。
2.3实验步骤
1.仪器准备:请参照说明书。
2.洗涤剂和样品准备:根据农业行业NY/T1459-2007标准,将酸性洗涤剂配好,待用;用旋风磨将其粉碎,过40目分样筛;精确称取干燥样品约1g(记为m),放入灰化好并带有硅藻土的坩埚内。
3.酸性洗涤剂消煮:消煮管内添加100mL酸性洗涤剂,微沸状态下消煮60min,抽滤并洗涤数次至无气泡。
4.洗涤:在冷浸提装置中先后加入丙酮和石油醚,洗涤,抽滤。
5.干燥:放入真空干燥箱内,以130℃烘干2h,冷却称重m1。
6.洗涤:样品在冷浸提用12mol/L的硫酸溶液消解3h,并抽滤,洗涤至中性。
7.干燥:放入真空干燥箱内,以130℃烘干2h,冷却称重m2。
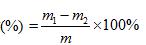
8.计算结果:根据公式 纤维素含量(%) =
其中,m1──130℃烘干后坩埚及试样酸性洗涤剂消煮后残渣重,g;
m2──130℃烘干后坩埚及试样硫酸消解后残渣重,g;
m ──试样(未脱脂)质量,g;
计算得出实验结果。
3结果分析
4注意事项
1.若样品含有脂肪和色素含量≧10%,先用石油醚或乙醚在冷浸提装置中进行脱脂。
2.若实验过程中,出现较多气泡,可滴入几滴正辛醇。
3.消煮过程中,若样品出现挂壁现象,可用加入少量酸性或碱性洗涤剂将其冲洗下来。
4.排废过程中,若出现样品因抽滤成饼造成抽滤困难时,可采用反冲功能,从而使排废进行更顺利。
附:农业NY/T1459-2007标准中酸性洗涤剂配制方法:酸性洗涤剂(2%十六烷基三甲基溴化铵溶液):称取20gCTAB溶解于1000mL1.00mol/L硫酸(1/2H2SO4)溶液中,搅拌溶解。
